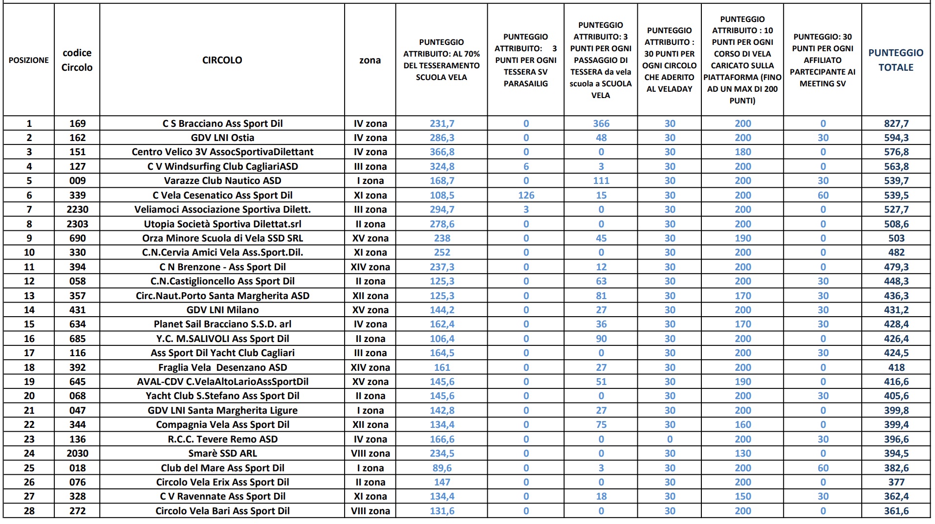
La Federazione Italiana Vela ha pubblicato ha classifica delle migliori scuole vela Italia nel corso del 2022.

Clicca qui per visualizzare la classifica completa.
La classifica tiene conto dei seguenti criteri:
- Numero di tessere FIV scuola vela, calcolate al 70 per cento.
- Partecipazione ai programmi Parasailing. Tre punti per ogni tessera.
- Passaggi da vela scuola a scuola vela. Tre punti per ogni tessera.
- 30 punti per aver aderito al Vela Day.
- 10 punti per ogni corso di vela effettuato (max 200 punti).
- 30 punti per ogni circolo che ha partecipato ai Meeting Scuole Vela.
La premiazione si terrà venerdì 7 ottobre dalle ore 15:00, nell’ambito delle manifestazioni legate alla Barcolana.



